株式会社IHMが取り扱う乳酸菌原料「植物性ナノ型乳酸菌SNK(以下、SNK)」について、たんぱく質消化酵素の活性化および骨代謝促進についてまとめた論文が国際論文誌“International Journal of Molecular Science”に2025 年6 月に受理された。
(論文概要)
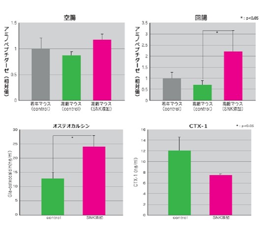
タンパク質分解の最終段階を担う消化酵素アミノペプチダーゼは、タンパク質吸収においては重要な因子の一つである。そこで、同研究では SNK が小腸のアミノペプチダーゼ活性に影響を与えるのか検証した。
通常食を与えた 6 週齢の若年マウス群(対照)と、70 週齢の高齢マウス群(対照)に加え、 SNK 投与した70 週齢の高齢マウス(SNK 添加)を12 週間飼育後、空腸および回腸から粘膜を回収し、アミノペプチダーゼ活性を測定した。その結果、空腸、回腸のどちらも若年マウスと比較し、SNK を添加した高齢マウスは若年マウスよりもアミノペプチダーゼ活性が上昇した。 また、通常食の高齢マウスにおいては、アミノペプチダーゼ活性は低下していた。

さらに血漿中の骨代謝マーカーについても合わせて検証を行い、骨形成マーカーであるオステオカルシンと骨吸収マーカーであるCTX-1 の濃度を測定、それぞれ比較を行った。その結果、オステオカルシンは高齢マウスのコントロール群と比べて有意に増加し、CTX-1 はコントロール群と比べて減少傾向にあった。尚、SNK を摂取した高齢マウスは骨髄由来のマクロファージの貪食能が向上したことから、SNK による免疫反応が消化酵素活性の向上に影響を与えたと考えられる。
よって、SNKの利用は食事中のタンパク質を効率よく吸収し、さらに骨の代謝マーカーを改善する可能性を示唆した。このことから、SNK を継続的に摂取することによって、高齢者に対してはサルコペニアやフレイルのきっかけとなる低栄養の予防効果が期待できる。さらに、若年層であっても、アミノ酸やプロテインなどと組み合わせることで相乗効果を狙ったフィットネス訴求の商品展開が見込まれる。
【食品開発展2025出展】
10月15日(水)~17日(金)東京ビックサイト・西棟
登録無料ですので皆様のご来場お待ち申し上げております。
■ブース位置:A-040(丸大食品様(A-039)と共同出展
■セミナー情報(各20分):
10月15日(水):SNK(11:00~)、プラズマローゲン
10月16日(木):nEF(13:00~)、プラズマローゲン
10月17日(金):SNK(14:00~)、プラズマローゲン
★SNKは睡眠に関する新情報、および骨代謝についてのデータを













