リリースニュース記事一覧
-
高機能メンブレン「MIRAIM®」の量産設備を新設/帝人
帝人株式会社は、「MIRAIM®」ブランドで展開している高機能メンブレンに対する需要が旺盛であることから、松山事業所内に量産設備を新設します。これによる投資金額は約30億円。同社は、200……
2018年02月06日 17:17 -
アスタキサンチン配合「真っ赤なアマニオイル」を発売/日本製粉
日本製粉株式会社は、2018年春夏健康食品として「真っ赤なアマニオイル」シリーズ 3 品を全国で発売します。 同社出荷開始日は、2018年 4 月 3 日(火)を予定しています。同シリーズは、料理に……
2018年02月06日 10:56 -
不二家ペコちゃんと奇跡のコラボ「ミルキー味のプロテイン」を発売/リアルスタイル
株式会社Real Styleは、モンドセレクション 2015、2016、2017で最高金賞を受賞したビーレジェンドプロテインの新ラインナップ「ビーレジェンドミルキー」を2018年1月31日(水)に販売……
-
「イミダの力®」2品目のアンチドーピング認証を取得/日本ハム
日本ハム株式会社が販売してるイミダの力®が、アンチドーピング認証を取得しました。同認証の取得により、WADA(世界アンチドーピング機関)の禁止物質リストについて検査済みであることが保証され、ト……
2018年02月05日 19:46 -
「ゴジベリーとキヌアのアーモンドクランチ」を発売/アサヒグループ食品
アサヒグループ食品株式会社は、スーパーフード入りのカリッと噛んで食べるクランチキャンディ『ヘルシーバイト ゴジベリーとキヌアのアーモンドクランチ』を2月19日(月)より全国で新発売します。『ヘルシ……
2018年02月05日 16:14 -
ゴジベリージュースが服部幸應プレミアム推奨に/日本スーパーフード協会
一般社団法人日本スーパーフード協会によるプロデュースで、有機クコの実のリーディングカンパニー・株式会社八仙が販売する「オーガニックゴジベリージュース100%」が、『服部幸應プレミアム推奨』に選ばれまし……
2018年02月05日 13:26 -
サプリ「からだ想い クランベリーシールド」発売/キッコーマングループ
キッコーマンニュートリケア・ジャパン株式会社は「キッコーマン からだ想い クランベリーシールド」を2月5日より新発売します。この商品は、キッコーマンの通信販売サイト「健康こだわり便」で販売します。……
2018年02月05日 11:09 -
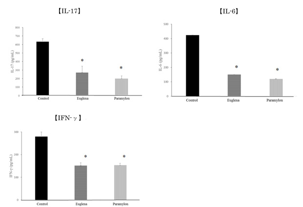
ユーグレナ継続摂取による関節リウマチの症状について/ユーグレナ
株式会社ユーグレナは、微細藻類ユーグレナ(和名:ミドリムシ、以下ユーグレナ)粉末やユーグレナ特有の機能性成分であるパラミロン※1を摂取することで、免疫細胞の分化を抑制する作用が発生し、関節リウマチ症状……
2018年02月05日 10:48 -
(一社)日本OMGと連携し製造業・流通業等に、IoT導入コンサルを開始/クニエ
NTTデータグループのコンサルティング会社である株式会社クニエと、一般社団法人日本 OMGは連携し、製造業、流通業、サービス業、農業を中心とした IoT(Internetof Things)導入コンサ……
2018年02月02日 17:07 -
「AFC健康ショップ」大丸京都店に出展/エーエフシー
健康食品・化粧品・食品を製造販売する株式会社エーエフシーー(本社:静岡県静岡市、社長:淺山雄彦)は、2018年2月1日「AFC健康ショップ大丸京都店」を大丸京都店 B1階(食品フロア)に新規出店しま……
2018年02月02日 16:04 -
植物が飢餓を乗り切るためには、アミノ酸を産み出すオートファジーが必要/東北大学
東北大学学際科学フロンティア研究所の泉正範助教、同大学大学院農学研究科の石田宏幸准教授らのグループは、植物が飢餓を生き抜くために、オートファジーを活性化することで産み出したアミノ酸をエネルギーとして利……
2018年02月02日 15:41 -
独自の乳酸菌「イチビキコッカス」を使用した糀あま酒を発売/イチビキ
イチビキ株式会社は、同社独自の植物由来乳酸菌“イチビキコッカス”を使用したブランド「菌のめぐみ」から《カートカン 乳酸発酵で甘さすっきりの糀あま酒》を、2018年3月5日より……
-
粉末スティック「おいしい乳酸菌」通販限定発売/伊藤園
株式会社伊藤園は、毎日手軽に乳酸菌を摂取できる粉末スティック「おいしい乳酸菌」を2月5日(月)より販売開始します。「おいしい乳酸菌」は、酒粕に生きた乳酸菌を加えた、粉末スティックタイプの調味パウダ……
2018年02月02日 10:39 -
日本クロージャーと共同開発 国内最軽量PETボトルキャップ採用/アサヒ飲料
アサヒ飲料株式会社は、2018年2月下旬の製造より同社で製造する炭酸飲料に、炭酸飲料用として国内最軽量※1となるPETボトルキャップを採用し、順次、使用の拡大を予定しています。 このPETボトルキャ……
2018年02月02日 10:28 -
スギ花粉やダニのフンや死がいを不活性化するケアミストを発売/サンスターグループ
サンスターグループは、スプレーするだけで、ダニやハウスダストなどに悩まされがちな寝具類やお部屋の布製品を、清潔で快適な状態にする生活環境衛生維持剤「ピュアイズム」を販売しています。 この度「ピュアイ……
2018年02月02日 09:07

















